太阳集团tcy8722金钟教授共同带领的“先进能源材料与器件”研究团队在高倍率、高耐受性能的锂硫电池方面取得研究进展,相关成果以“Self-Templated Formation of Interlaced Carbon Nanotubes Threaded Hollow Co3S4 Nanoboxes for High-Rate and Heat-Resistant Lithium-Sulfur Batteries”为题发表在Journal of the American Chemical Society, 2017, 139, 12710-12715。陈涛博士为论文第一作者,本科四年级员工张泽文为论文第二作者。
![]() 图1. S@CNTs/Co3S4-NBs正极和S@Co3S4-NBs 正极的结构优势对比示意图。
![]() 图2. S@CNTs/Co3S4-NBs正极合成过程示意图(a)和导电网络示意图(b)。CNTs/Co3S4-NBs的SEM 图(c)和TEM图(d-h)。S@CNTs/Co3S4-NBs的SEM图(i)和TEM图(j)。
现阶段,锂硫电池普遍采用的传统醚类电解液的沸点和闪点较低,无法满足电池在高温下的工作需求;同时,高温工作环境也会加速多硫化锂在电解液中的溶解,从而引发严重的“穿梭效应”。针对这些关键问题,该团队设计了一种自模板合成法,将ZIF-67在碳纳米管(CNTs)的交联网络上成核形成纳米立方体,然后将CNTs/ZIF-67前驱体转化为碳纳米管/Co3S4空心纳米盒子(CNTs/Co3S4-NBs)。该结构设计具有以下几个优势:
Ø 提供了一个微区化和整体化的三维导电网络(特别是Co3S4空心纳米盒子内部的活性硫),显著提高活性硫的利用率和倍率性能。
Ø 可加速电子传输并且缩短了锂离子扩散路径,从而促进电化学氧化还原过程的动力学行为。
Ø 提高了电极/电解液接触面积(尤其是内部纵深位置的活性硫)并且提供了更多的开放通道以便电解液渗透。
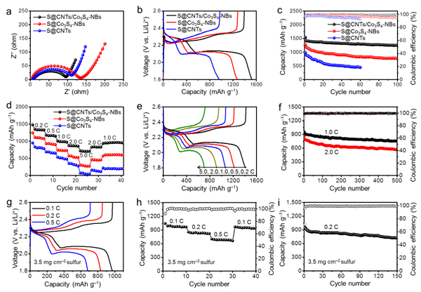
![]() 图3. 基于S@CNTs/Co3S4-NBs正极的锂硫电池的电化学性能。
![]() 图4. 循环后的电极片浸泡在电解液中得到的紫外吸收曲线(a);S@CNTs/Co3S4-NBs正极在50°C下,0.2 C时的循环性能(b);在50°C下,S@CNTs/Co3S4-NBs正极的倍率性能(c,d)。
研究结果表明,这种S@CNTs/Co3S4-NBs正极材料具有非常出色的高倍率性能。此外,该电极在醚类电解液中和50°C下,以0.2 C充放电循环300次后,其放电比容量仍可维持在718 mAh/g,这为研发和设计耐高温的锂硫电池正极材料提供了崭新的思路。
近两年以来,该课题组在锂硫电池正极材料方面已经开展了深入的研究(Nano letters, 2016, 17, 437; Nano Energy, 2017, 38, 239; ACS Nano, 2017, 11, 7, 7274)。这些研究工作得到了973计划、国家重点研发计划、国家自然科学基金、江苏省自然科学基金等项目的资助。
|




