公司王新益课题组在可调控单分子磁体领域取得新进展,相关成果近期以“Reversible On−Off Switching of a Single-Molecule Magnet via a Crystal-to-Crystal Chemical Transformation”为题在美国化学会志上在线发表(J. Am. Chem. Soc. 2017, DOI: 10.1021/jacs.7b07008)。论文第一作者为太阳成集团博士生吴冬青。
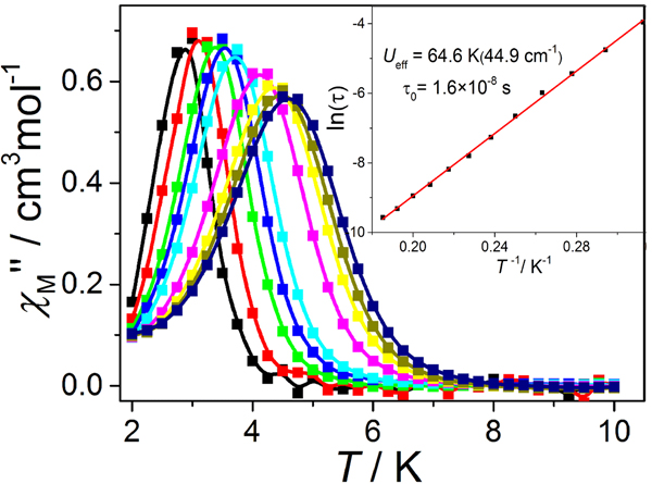
单分子磁体(Single Molecule Magnets, SMM)在阻塞温度以下表现出缓慢的磁弛豫行为,不仅可观察到磁滞现象,而且还有丰富的量子磁学行为,如磁量子隧穿、磁量子相干等,这使得单分子磁体在高密度信息储存和量子计算等领域具有重要的潜在应用。早期的理论研究表明,具有五角双锥配位构型的七氰基构筑块[MoIII(CN)7]4-有较强的单离子磁各向异性并能导致很强的各向异性磁交换,有望构筑高能垒单分子磁体。王新益课题组曾在2013年首次在实验上实现了基于[Mo(CN)7]4-的单分子磁体的合成,其自旋翻转能垒及阻塞温度都是当时所有文献报道的基于氰根桥连的单分子磁体中的最大值(J. Am. Chem. Soc. 2013, 135, 13302)。最近,王新益课题组继续在相关领域开展研究,并取得了新的进展。通过不同的实验策略,课题组获得了第二例基于[Mo(CN)7]4-的单分子磁体。而且,该化合物在失水和重新吸水时发生单晶到单晶的可逆结构转变,从三核结构动态地转变为六核结构。伴随着多个配位键的打开和重组,该化合物的结构、颜色、磁性均发生了显著的变化,由三核单分子磁体转变为六核非单分子磁体,实现单分子磁体的开关效应。
由此,课题组不仅能够通过化学合成调控目标产物的配位构型,进而调节其单分子磁体的性质,而且可以通过在一颗晶体中的单晶到单晶的变化,实现其单分子磁体性能的开关,为深入研究各向异性磁交换在构筑单分子磁体中的作用提供了实验模型,也为构筑具有更多性能可调的单分子磁体提供了思路。
本研究是和美国德州农工大学的Kim R Dunbar教授以及南方科技大学的张元竹教授合作完成。该研究工作得到了973计划、国家优秀青年科学基金、国家自然科学基金、江苏省自然科学基金等项目的资助。
![]() Fig. 1 失水-吸水导致的单晶-单晶结构转变
![]() Fig. 2. 三核化合物的交流磁化率曲线及能垒
![]() Fig. 3 基于不同策略对基于[Mo(CN)7]4-的单分子磁体的调控
|



